Tuesday, January 30, 2018

Distribuição trinomial

Imagine uma sequência de n eventos (ou n ensaios, ou n tentativas) idênticos e independentes. Em cada evento, são possíveis três resultados: “sucesso”, “fracasso” e “nenhum deles”. 
Em todos os eventos, a probabilidade de sucesso (ocorrer o evento de interesse) é p,  a probabilidade de fracasso é q e a probabilidade de não ocorrer nenhum deles é 1-(p+q).
 EXEMPLO 1
Uma urna contém cinco bolas vermelhas, quatro bolas verdes e três bolas azuis, diferentes apenas em relação a cor.  Essas bolas estão perfeitamente misturadas. Sem olhar, você retira uma bola, anota a cor e a recoloca na urna, misturando bem. Repete o procedimento por 20 vezes (1).
Qual é a probabilidade de, nessas 20 retiradas, saírem oito bolas vermelhas e cinco verdes? Esta é uma das muitas possibilidades.
Definição de distribuição trinomial: sejam n ensaios idênticos e independentes. Cada ensaio pode resultar em um de três eventos: sucesso, fracasso e nenhum deles. Seja X o número de vezes que um ensaio termina em sucesso, Y o número de vezes que um ensaio termina em fracasso e Z o número de vezes que um ensaio termina em nenhum deles. A probabilidade de ocorrerem x sucessos, y fracassos e nenhum deles em número z é dado por:
 
 x = 0, 1, …, n
y = 0, 1, …, n
x + y ≤ n

RESOLVENDO O EXEMPLO 1
No exemplo das bolas na urna, vamos representar por X o primeiro tipo de resultado, por Y o segundo tipo de resultado e por Z o terceiro tipo de resultado. Nesse exemplo:
                                    n= 20 tentativas
 
                                            x = 8 bolas vermelhas
                                                 y = 5 bolas verdes
                                                 z = 20-8-5=7 bolas azuis

   Para obter a probabilidade pedida, aplique a fórmula:


 A probabilidade de, nas 20 retiradas, saírem oito bolas vermelhas e cinco verdes é 2,276%.

EXEMPLO 2
Foram sorteados 20 alunos de uma escola para responder um questionário sobre violência no futebol (2). No sábado anterior, havia tido um jogo importante. A probabilidade de o aluno ter ido ao jogo (evento A) é 0,20, a probabilidade de o aluno ter assistido ao jogo pela TV (evento B) é 0,50 e a probabilidade de o aluno ter ignorado o jogo (evento C) é 0,30. Qual é a probabilidade de, dos 20 alunos sorteados, 4 terem ido assistir ao jogo no campo e 10 alunos terem assistido ao jogo na TV?
                                       n= 20 alunos
 

                                              x = 8 terem ido ao campo de futebol
                                                   y = 5 terem assistido ao jogo na TV 
                                                   z = 20-8-5=7 terem ignorado o jogo

 Para obter a probabilidade pedida, aplique a fórmula:



 A probabilidade de, dos 20 alunos, oito terem ido ao jogo, cinco terem assistido o jogo na TV e sete terem ignorado o assunto é 0,175%.

 

EXEMPLO 3

Dois enxadristas devem disputar 12 jogos (3). Com base em jogos anteriores, estima-se que a probabilidade de um deles (que chamaremos de A) vencer é 0,40 e a probabilidade do outro (que chamaremos de B) vencer é 0,35. Estima-se a probabilidade de empate em 0,25. Qual é a probabilidade de A vencer 7 jogos e B vencer 2 jogos?

                                        n = 12 jogos
 

                                        x = 7 A vencer
                                        y = 2 B vencer
                                        z = 3 empatar
=0,0248
EXEMPLO 4
Em uma pesquisa para eleição presidencial, 40% dos eleitores disseram preferir o candidato A, 10% disseram preferir o candidato B e os demais disseram estar indecisos (3). Você seleciona 10 eleitores ao acaso. Qual é a probabilidade de 4 prefiram o candidato A, 1 prefira o candidato B e os demais continuem indecisos?
                                         n = 10 entrevistados
 

                                         x = 4 preferir A
                                         y = 1 preferi B
                                         z = 5 indecisos
 

(2) David M. Lane, D.L. The Trinomial Distribution | STAT 414 / 415


(3)Multinomial Distribution - OnlineStatBookonlinestatbook.com/2/probability/multinomial.html



Saturday, January 27, 2018

Genética: exemplos em que se aplica a distribuição binomiall

1º Exemplo: Na população branca do Brasil, 85% têm Rh+. Três pessoas são amostradas ao acaso dessa população. Construa a distribuição binomial e faça um gráfico.
                      n é o número de pessoas: n = 3
                      é o número de pessoas com Rh+ na amostra
                      p é a probabilidade de Rh+: p = 0,85
                       q é a probabilidade de Rh-: q = 0,15.

Cálculos intermediários para obter a distribuição binomial

 Para construir a tabela de distribuição binomial, some probabilidades de eventos que levam ao mesmo valor de X. A distribuição é dada na tabela a seguir.
                   Distribuição de probabilidades do número de pessoas com Rh+, numa amostra de três pessoas.

Distribuição de probabilidades do número pessoas com Rh+,
 em três pessoas.

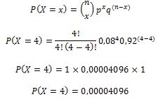
2º Exemplo: A probabilidade de um menino ser daltônico é 8%. Qual é a probabilidade de serem daltônicos todos os quatro meninos que se apresentaram, em determinado dia, para um exame oftalmológico?
No problema, p = 0,08. Então q = 1 – 0,08 = 0,92. O número de meninos é n = 4. Para obter a probabilidade de x assumir valor 4, aplica-se a fórmula:
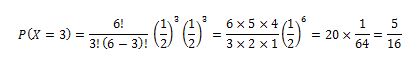
3º Exemplo: O resultado do cruzamento de ervilhas amarelas homozigotas (AA) com ervilhas verdes homozigotas (aa) são ervilhas amarelas heterozigotas (Aa). Se estas ervilhas forem cruzadas entre si, ocorrem ervilhas amarelas e verdes na proporção de 3 para 1. Portanto, a probabilidade de, num cruzamento desse tipo, ocorrer ervilha amarela é p = 3/4 e a probabilidade de ocorrer ervilha verde é q = 1/4.  Logo, o número de ervilhas amarelas em um conjunto de n ervilhas é uma variável aleatória com distribuição binomial de parâmetros n e p = 3/4. Foram pegas, ao acaso, 4 ervilhas resultantes do cruzamento de ervilhas amarelas heterozigotas. Qual é a probabilidade de 2 dessas 4 ervilhas serem de cor amarela
A probabilidade de 2 das 4 ervilhas serem amarelas é dada por:
4º Exemplo: A probabilidade de um casal heterozigoto para o gene da fenilcetonúria (Aa × Aa) ter um filho afetado (aa) é 1/4. Se o casal tiver três filhos, qual é a probabilidade de ter um filho com a doença?
                            
5º ExemploSuponha que, em uma população parental de moscas das frutas, a frequência de alelos para o fracasso (F) de um inseticida usado no combate de moscas seja ½ e a frequência de alelos para sucesso (S) seja ½.
·         Frequência de alelos para fracasso (F) = ½.
·         Frequência de alelos para sucesso (S) = ½.
A frequência de gametas F e S na população é a mesma, ou seja:
·         Frequência de gametas para fracasso (F) = ½.
·         Frequência de gametas para sucesso (S) = ½.
No caso de organismos diploides, os gametas distribuem-se de acordo com uma distribuição binomial, uma vez que são possíveis apenas dois resultados em cada tentativa, ou seja, ou S ou F.
Lembre-se de que
      Vamos supor que apenas três zigotos sobreviveram quando o inseticida foi aplicado.
1ª questão: Qual é a probabilidade de que os três sejam homozigotos FF?  
                   n = 2N gametas na amostra = 6
                   x = número de gametas F na amostra = 6


2º questão: Qual é a probabilidade de que cada um dos três zigotos tenham genótipos diferentes? Em outras palavras, qual é a probabilidade de obter FF, FS, SS?
Esta seria a probabilidade de que três gametas tenham o alelo F e três tenham o alelo S. Então:


Friday, January 26, 2018

Bits (binary digits) têm distribuição binomial


Quando se lança uma moeda uma única vez, sair cara ou coroa é obra do acaso. Saída de cara ou coroa no lançamento de uma moeda é , portanto, uma variável aleatória. Como só existem dois resultados possíveis, dizemos que a variável é bináriaA probabilidade de ocorrer cara é p = ½ e a probabilidade de ocorrer coroa é q = ½.

Imagine que uma moeda foi lançada muitas e muitas vezes, digamos n vezes. Nessas jogadas todas ocorrerá um certo número de caras, que indicaremos por X. Essa nova variável também é aleatória. Afinal, o número de caras que podem ocorrer quando lançamos uma moeda n vezes também é obra do acaso.
 Podemos calcular a probabilidade de, em n jogadas, X ser zero, 1, 2, ..., n. Temos então uma distribuição, porque todos os valores de estão associados a probabilidades. Essa distribuição se chama binomial, porque cada lançamento da moeda só pode resultar em uma de duas possibilidades: ou sai cara, ou sai coroa.

          Obrigatoriamente:
·         A soma das probabilidades de ocorrência de todos os valores possíveis de X é 1.
·         A probabilidade de ocorrer qualquer valor de X é igual ou maior que zero não pode ser negativa.

Para estudar a distribuição da variável aleatória Xvamos estabelecer que em cada lançamento da moeda, se ocorrer coroa,  X = 0 e se ocorrer cara,  = 1. Você compreende assim o que é um dígito binário o binary digit, que deu origem ao termo bit. (É "sim" ou "não", está aceso ou apagado) 
Vamos voltar ao jogo de moedas e  estabelecer, primeiramente, que o número de lançamentos será n = 1.
Os valores que podem ser assumidos pela variável aleatória X com as respectivas probabilidades estão na Tabela 1.

Tabela 1 – Distribuição binomial com n = 1 e p = ½

Vamos agora considerar que a moeda é lançada n = 2 vezes. Os valores que podem ser assumidos pela variável aleatória X com as respectivas probabilidades estão na Tabela 2.

Tabela 2 – Distribuição binomial com n = 2 e p = ½


Se a moeda for lançada n = 3 vezes, os valores que podem ser assumidos pela variável aleatória X com as respectivas probabilidades estão na Tabela 3.

Tabela 3 – Distribuição binomial com n = 3 e p = ½


Para estabelecer uma linha de raciocínio, observe as tabelas 1, 2 e 3. Veja que:
 ·         Se n = 1, a variável aleatória assume valor zero ou 1.
 ·         Se n = 2, a variável aleatória assume valor zero, 1 ou 2.
 ·         Se n = 3, a variável aleatória assume valor zero, 1, 2 ou 3.

É razoável estender o raciocínio e admitir que, fixado um valor para n, a variável aleatória X pode assumir qualquer valor entre zero e n, inclusive.
Para cada valor que pode ser assumido pela variável aleatória X, as tabelas 1, 2 e 3 também apresentam a respectiva probabilidade. Por extensão, podemos considerar que, fixado o valor de n, é possível calcular a probabilidade de a variável aleatória X assumir qualquer valor inteiro entre zero e n.
Vamos aceitar, sem demonstração, que a probabilidade de X assumir um determinado valor x é dada pela fórmula:
Para aprender usar esta fórmula, vamos fazer n = 4. Quando uma moeda é lançada 4 vezes, podem ocorrer zero, 1, 2, 3 ou 4 caras. Usando a fórmula, vamos calcular a probabilidade associada a cada um desses valores. Então:
 Vamos colocar estes resultados na Tabela 4.

Tabela 4 – Distribuição com n = 4 e p = ½


Características da distribuição binomial

·         São n eventos idênticos (ou n ensaios, ou n tentativas).
·         Cada evento só pode resultar em um de dois resultados, identificados como “sucesso” e “fracasso” – com valores 1 e zero, respectivamente;
·         A probabilidade de sucesso (ocorrer o evento de interesse) é p em todos os eventos.
·         Os eventos são independentes: o resultado de um evento não tem efeito sobre o resultado de outro.

·         O número de sucessos em n eventos é a variável aleatória X.

Parâmetros da distribuição binomial

1)                       n, isto é, o número de eventos (por exemplo, se uma moeda for lançada dez vezes)
2)                      p, isto é, a probabilidade de sucesso em uma tentativa (por exemplo, sair cara quando se joga uma moeda).

Lembre-se de que:
n = número de tentativas
x = número de sucessos
p = probabilidade de sucesso
!  indica fatorial, em uma análise combinatória

Análise combinatória

Se n é um número inteiro positivo maior do que zero, por definição, fatorial de n, que se indica por n! é dado por:
                                        n! = n (n – 1) (n – 2)…1.
O fatorial de 5 é, portanto:
                                     5! = 5 × 4 × 3 × 2  × 1 = 120.
O desenvolvimento de um fatorial pode ser interrompido antes de chegar ao número 1, desde que se coloque o símbolo ! que indica o fatorial, logo após o último número. Escreve-se:
                                    5! = 5 × 4 × 3!
porque
                                    3! = 3 × 2 × 1.
O fatorial de zero, que se indica por 0! é, por definição, igual a 1.

Dado um conjunto de n elementos, onde n > 0 e dado o número x £ n, combinação de n, x a x, é indicada por:

Esta fórmula dá o número de diferentes conjuntos de x elementos que podem ser formados com n elementos distintos.
Seja n = 5 e x = 3. Então a combinação de 5, 3 a 3 é:

 Convém observar que:
                                  


Na próxima postagem, vamos dar exemplos. Veja