Thursday, March 16, 2017

Algebra de matrizes VII: Regra de Sarrus

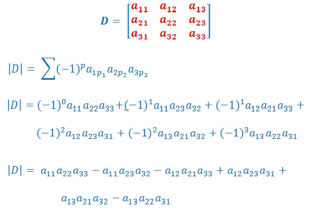
     Seja 

Observando o desenvolvimento do determinante, é possível ver que pode ser obtido formando os produtos segundo as linhas do esquema abaixo:

Os produtos correspondentes à diagonal principal e às linhas cheias (paralelas à diagonal principal) recebem sinal positivo e os produtos correspondentes à diagonal secundária e às linhas cheias (paralelas à diagonal secundária) recebem sinal negativo. Esta regra prática denomina-se Regra de Sarrus.

Exemplo
Calcule o determinante:

Aplicando a Regra de Sarrus:

               
    

               
                     


Tuesday, March 14, 2017

Álgebra de matrizes VI: matriz identidade, matriz inversa,"divisão"

Matriz identidade

A matriz identidade é uma matriz quadrada, isto é, tem igual número de linhas e colunas. A diagonal principal é constituída apenas por números 1. Os demais elementos são todos iguais a zero.

A matriz identidade pode ter dimensões 2 × 2, ou 3 × 3, ou 4 × 4, etc ... É indicada pela letra maiúscula I.

Exemplo

Veja uma matriz identidade 3 x 3:



A matriz identidade “equivale” ao número 1. Se você multiplica uma dada matriz M por uma matriz identidade, obtém M como produto. Se multiplica a matriz identidade por uma matriz M, também obtém M como produto.



Para o que serve uma matriz identidade? Em postagens anteriores, você viu como se faz a soma, a subtração e a multiplicação de matrizes. Mas a divisão?

Na verdade, dadas duas matrizes, A e B, tecnicamente não se faz divisão de A por B, mas a multiplicação de A pela inversa de B. Indica-se a inversa da matriz B por B-1. Então, nunca escreva A÷B, mas sim A x B-1.

  Matriz inversa

B-1 é a inversa da matriz B somente se o produto de B por  B-1,  igual ao produto de B-1 por B,  for uma matriz identidade



Há matrizes que não tem inversa. Elas são chamadas de matrizes singulares. Mas a questão agora é: como se acha a inversa de uma matriz? É trabalhoso, mas felizmente inventaram computadores! De qualquer modo, vamos inverter uma matriz 2 x 2.  

É dada a matriz


Para achar a matriz inversa M-1:

1.   Troque as posições de a e d.
2.  Troque os sinais de b e c, mas os mantenha nas mesmas posições.
3.   Calcule o determinante de M.


4.  Divida a matriz obtida em 1 e 2 pelo determinante de M.


                                        Exemplo
                                    Inverse of a Matrix - Math is Fun
                      https://www.mathsisfun.com/algebra/matrix-inverse.html

Ache a matriz inversa de


É preciso calcular:

Você pode verificar se achou a inversa de M? É preciso calcular:


Muito bom: está aí a matriz identidade, para provar que a inversão da matriz foi correta. Mas M-1 é a inversa da matriz M somente se


 Calcule, então:



Importante: você só pode inverter matrizes quadradas, com determinante diferente de zero.

Mas você ainda pode estar pensando: para que tanta complicação? Dadas duas matrizes A e B, não posso, mesmo, dividir A por B? Não, não pode. Mas pode multiplicar a matriz A pelo inverso da matriz B, desde que B seja não singular. Na prática, é a mesma coisa.

Veja um exemplo. Temos duas matrizes, A e B, conhecidas, e queremos obter a matriz X, que desconhecemos. Sabemos que

XA = B

Não podemos dividir ambos os membros da equação por A porque já sabemos que essa operação não é possível. Mas podemos escrever:

XAA-1 = BA-1
Sabemos que
AA-1=I
 
Então
 
XI= BA-1
Como 
 
XI=X
 
X= BA-1
 

“Dividindo” matrizes

Tecnicamente, não se faz uma divisão de matrizes. A operação equivalente da “divisão” de uma matriz A por uma matriz B é a multiplicação de A pela inversa de B.

Você aceita isso facilmente quando se trata de escalares. Por exemplo, se você tem 10 laranjas para distribuir igualmente entre dois meninos, que operação você faz para obter o resultado? Uma divisão, evidentemente:
10 ÷ 2 = 5
Mas se você multiplicar dez pelo inverso de cinco, obterá o mesmo (e correto) resultado:
10 x ½ = 5
Ainda, se multiplicar o inverso de 2 por dez, obtém o mesmo cinco. No entanto, você não pode trabalhar com matrizes pensando que pode aplicar a elas os procedimentos que usa com escalares. Vamos por partes.



1.  A x B-1 não é igual a B-1 x A.

Exemplo

Dadas as matrizes

para “dividir”A por B obter o produto A x B-1, é preciso calcular B-1. Essa matriz foi obtida anteriormente. Reveja, mas
São aqui calculados os produtos A x B-1 e B-1 x A. Compare os resultados.
2. Se você quer “dividir” a matriz A pela matriz B, a matriz B precisa ser não-singular, isto é, tem de ser possível obter a inversa de B. Portanto, B deve ser uma matriz quadrada com determinante diferente de zero.
3Lembre-se de que para multiplicar matrizes, é preciso que elas tenham dimensões m x n e n x p, isto é:      
                       

                        
   No exemplo, são duas matrizes quadradas 2 x 2. Neste caso, a ordem em que se faz a multiplicação pôde ser mudada, mas, como você viu, mudaram os resultados.