Em geral, o pesquisador busca testes pos-hoc para
comparar médias de grupos quando já obteve resultado significante na ANOVA
(análise de variância) e seu ensaio tem três ou mais grupos.
Diversos
são os testes que estão à disposição do pesquisador, alguns dos quais já
discutimos em postagens anteriores. Vamos tratar aqui o método de Tukey-Kramer,
que foi desenvolvido para os casos em que os grupos em comparação têm tamanhos
diferentes. A literatura sobre
os testes pos-hoc em geral considera grupos de mesmo tamanho. Mas se o
pesquisador tiver grupos de tamanhos diferentes, precisa ajustar o procedimento
à situação (substituir r por ri e rj). O teste de Tukey-Kramer assume que as populações têm variâncias iguais e, portanto, continua a usar o quadrado médio do resíduo (QMR), obtido na ANOVA, como estimativa de variância da variável.
Para obter o valor de diferença
mínima significante (dij) entre
as médias de dois grupos de tamanhos ri
e rj (dij)
pelo teste de Tukey-Kramer é preciso calcular:
O valor q(k,gl,a) , denominado
amplitude estudentizada é encontrado na tabela de amplitude estudentizada q ao nível de significância a, para k
grupos e os graus de liberdade do resíduo da análise de variância, que no caso
de um critério de classificação é (n-k),
ou seja, o tamanho da amostra (n)
menos o número de grupos (k). QMR é o
quadrado médio do resíduo da análise de variância e ri e rj são os números de repetições de cada um dos grupos em comparação.
Veja um exemplo. A Tabela 1 apresenta os
dados de um ensaio com quatro grupos (marcas de chá).As médias dos grupos estão no rodapé.
A Tabela 2 apresenta a análise de variância para esses dados. As comparações de
médias de marcas estão apresentadas abaixo das tabelas. Utilizou-se, para o
teste de Tukey-Kramer, o valor de q ao nível de 5%, considerando k=4 marcas e
n-k-24-4=20 graus de liberdade do resíduo.
Tabela 1 - Conteúdo
de ácido fólico (vitamina B) em folhas de
chá verde selecionadas ao acaso de quatro
marcas (1)
Tabela 2 - Análise de variância dos dados da Tabela 1
Para comparar a média da
marca 1 com a média da marca 2, com a = 5%, é preciso calcular:
Para comparar a média da
marca 1 com a média da marca 3, com a = 5%, é preciso calcular:
Procedendo da mesma
maneira, são obtidos os valores de dij
para as demais comparações. A Tabela 3 apresenta, com as diferenças das médias
estimadas, os valores das dij.
Toda vez que o valor absoluto da diferença entre duas médias for maior do que a
respectiva dij, rejeita-se
a hipótese de igualdade de médias.
Tabela 3 – Comparação de médias pelo teste de Tukey -Kramer
A
interpretação dos resultados apresentados na Tabela 3 é a de que, em média, o
conteúdo de ácido fólico no chá da marca 1 é maior do que o conteúdo de ácido
fólico no chá da marca 4.
Obter
as diferenças mínimas significantes pelo teste de Tukey-Kramer é trabalhoso
porque cada comparação de médias exige um cálculo. Claro que os programas para
computadores fazem a análise estatística rapidamente, mas nem sempre foi assim.
Então, já se propôs, quando os tamanhos de grupos não são muito diferentes,
calcular a diferença mínima significante na forma tradicional, proposta por
Tukey, mas usar, em lugar de r (que seria o número de repetições em todos os
grupos) a média harmônica H dos
tamanhos de grupos. O nível de significância não fica, porém, exato. A fórmula
fica como segue:
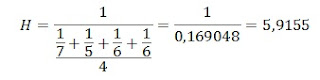
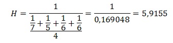
Vamos
ver este procedimento usando os mesmos dados da Tabela 1. Verifique que os
tamanhos dos grupos são 7, 5, 6, 6. Para calcular a média harmônica H, aplique a fórmula:
Para o exemplo:
Então
É fácil verificar que,
neste exemplo, a interpretação do teste permanece.
*****************
Veja a Tabela de amplitude estudentizada
em
table of the studentized range -
David Lane
http://davidmlane.com/hyperstat/sr_table.html
Veja também
Multiple Comparisons With Unequal
Sample Sizes https://www.uvm.edu/~dhowell/gradstat/.../labs/.../Multcomp.html
ANOVA & Tukey-Kramer test. https://www.youtube.com/watch?v=ZU1PgVWTXKY
ANOVA & Tukey-Kramer test. https://www.youtube.com/watch?v=ZU1PgVWTXKY



































