1.
Permutação simples
Considere os elementos A1,
A2, A3,…, An..
Permutação simples de A1, A2,
A3,…, An é
qualquer conjunto ordenado formado por todos esses elementos sem repetição, de
tal maneira que um conjunto se distingue de outro apenas pela ordem de seus
elementos.
O número de permutações simples de n elementos é n!
Exemplo
1
Três crianças que chamaremos de A
(Ana), B (Bia) e C (Cadu) vão formar uma fila para ganhar um sorvete. De
quantas maneiras elas podem se ordenar? Quais são as permutações possíveis?
Número de maneiras como elas podem se
ordenar:
Dados n elementos, chamamos uma de suas permutações de permutação fundamental ou principal. Se
dois elementos de qualquer outra permutação desses mesmos elementos estiverem
em ordem diferente daquela em que se
apresentam na permutação fundamental, dizemos que houve uma inversão. Uma permutação é de classe
par quando tem número par de inversões. Uma permutação é de classe ímpar quando tem número ímpar de
inversões.
2. Teorema
Se,
em uma permutação, dois elementos quaisquer trocam de lugar, a permutação muda
de classe.
Sejam dois elementos consecutivos que não apresentam inversão em relação à
permutação fundamental. Se eles trocarem de lugar entre si, passam a apresentar
inversão. O número de inversões aumenta, então, uma unidade e a permutação muda
de classe.
Exemplo 2
Por outro lado, dois elementos
consecutivos que apresentam inversão
em relação à permutação fundamental deixam de apresentar inversão, se trocarem
de lugar entre si. O número de inversões diminui de uma unidade e a permutação
muda de classe.
Exemplo
3
Reveja
o Exemplo 1. Considere fundamental a permutação: A, B, C.
Se
A e B trocam de lugar, o número de inversões aumenta uma unidade; a permutação
B, A, C é de classe ímpar.
Agora,
a permutação C, B, A tem três inversões: C-B, C-A, B-A. Se B e A trocam de lugar,
o número de inversões diminui para dois; a permutação C, A, B é de classe par.
3. Matriz quadrada
Matriz
é um conjunto de números arranjados da seguinte forma:
A
matriz quadrada é constituída por n
linhas e n colunas, cada uma com n elementos. Então uma matriz quadrada
tem n2 elementos.
O
primeiro índice de cada elemento indica a linha e o segundo índice indica a
coluna. Apenas como exemplo, o elemento a32
está na terceira linha e na segunda coluna.
Diagonal principal
de uma matriz quadrada é a diagonal formada pelos elementos que têm os dois
índices iguais como a11, a22,… ann.
Diagonal secundária
de uma matriz quadrada é a diagonal formada pelos elementos a1n, a2(n-1),… an1,que têm soma
dos dois índices igual a n+1.
Elementos simétricos são
todos os elementos do tipo ars asr.
Matriz simétrica é
aquela que, para todo r e s, r=s.
Determinante
de uma matriz é um número calculado a partir de uma
matriz quadrada. Mas vamos entender o que é determinante a partir de casos
particulares e depois veremos a definição.
É dada uma matriz 2 x 2, isto é, uma matriz com duas linhas e duas colunas.
Para obter o determinante dessa matriz,
veja o esquema:
Então, você calcula:
Matriz 2 x 2
É dada uma matriz 2 x 2, isto é, uma matriz com duas linhas e duas colunas.
O
determinante dessa matriz, que se indica entre linhas, é
Só
para lembrar, visualize o produto cruzado
Exemplo 4
Dada a matriz 2 x 2 abaixo, vamos calcular
o determinante.
O determinante é
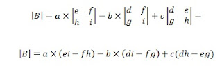
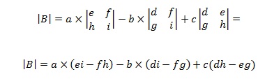
Matriz 3 x 3
Veja a regra:
1. Multiplique a
pelo determinante da matriz 2 × 2 que não está na linha nem na coluna em que
está a.
2. Proceda da mesma forma, para b e para c, elementos da
primeira linha.
3. Note que a alternância
dos sinais: + para a, - para b,+ para c.
Exemplo 5
Matriz 4 x 4 e maiores
É dada uma matriz 4 x 4:
Para obter o determinante:
1. Multiplique o elemento a, com sinal positivo, ao determinante da matriz que não contem a
linha em que está a nem a coluna em que está a;
2. Multiplique o elemento b, com sinal negativo, ao determinante da matriz que não contem a
linha em que está b nem a coluna em que está b;
3. Multiplique o elemento c, com sinal positivo, ao determinante da matriz que não contem a
linha em que está c nem a coluna em que está c;
4. Multiplique o elemento d, com sinal negativo, ao determinante da matriz que não contem a
linha em que está d nem a coluna em que está d.
Difícil? Use uma calculadora de matrizes
(matrix calculator). Mas saiba que esta é a maneira mais fácil de entender como calcular
o determinante de uma matriz. É a expansão de
Laplace.
Mas veja aqui a definição de
determinante:
É o somatório dos n! produtos obtidos da diagonal principal deixando fixos os
primeiros índices e considerando todas as permutações possíveis dos segundos
índices precedidos de sinais positivos ou negativos conforme seja par ou ímpar
o número de permutações, o que equivale a multiplicar cada produto por (-1)p onde p é a classe de permutações dos segundos índices. Logo:





















