Friday, February 02, 2018

Genética: exemplos da distribuição trinomial

Suponha que, em uma população parental de moscas das frutas, a frequência de alelos para o fracasso (F) de um inseticida usado no combate das moscas seja ½ e a frequência de alelos para sucesso (S) seja ½.
Frequência de alelos para fracasso (F) = ½.
Frequência de alelos para sucesso (S) = ½.
A frequência de gametas F e S na população é a mesma, ou seja:
Frequência de gametas para fracasso (F) = ½.
Frequência de gametas para sucesso (S) = ½.
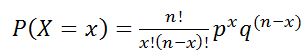
No caso de organismos diploides, os gametas também se distribuem de acordo com uma distribuição binomial, uma vez que são possíveis apenas ou S ou F.
Lembre-se de que



Vamos supor que apenas três zigotos sobreviveram quando o inseticida foi aplicado.

Uma amostra dos zigotos resulta em um processo trinomial, porque há três genótipos possíveis: FF, FS e SS. Seja X o número de zigotos FF, Y o número de zigotos FS e Z o número de zigotos SS. A probabilidade de ocorrerem x zigotos FF, y zigotos FS e z zigotos SS é dado por:

  1ª pergunta: Qual é a probabilidade de os três zigotos serem homozigotos?
2ª pergunta: Qual é a probabilidade de cada zigoto ter um tipo de genótipo?
3ª pergunta: Qual é a probabilidade de que os três zigotos sejam FS?



Lembrando combinações:

Imagine uma sequência de n eventos (ou n ensaios, ou n tentativas) idênticos e independentes. São três os resultados possíveis para cada evento: “A”, “B” e “C”.   Se a probabilidade de A (ocorrer o evento de interesse) for p, a probabilidade de B for q e a probabilidade de C for 1-p-q, você tem uma distribuição trinomial.
Imagine agora uma sequência de n eventos:
                                           A, A,...,A ocorre x vezes;
                                           B, B,...,B ocorre y vezes;
                                                     C, C,...,C ocorre z vezes.

De quantas maneiras isso pode ocorrer? Como x + y + z = n,
                                            z = n - x - y

                                                             


               DE
                             Binomial sampling
                                              ib.berkeley.edu/courses/ib162/14NovDft.htm