Incerteza
da medição significa dúvida
acerca da validade do resultado de uma medição. Na verdade, todo resultado de medição está associado a um grau de
incerteza explicada por diversos fatores: a
limitação da precisão do instrumento, o procedimento utilizado, o próprio
operador. Quando você relata o resultado da medição de um mensurando deve, portanto,
escrever
(X + ∆X) unidade de medida
em que X é a melhor
estimativa do valor do mensurando e DX é a incerteza
do resultado da medição. É razoável inferir que os resultados obtidos de outras medições
do mesmo mensurando em iguais condições estarão, provavelmente, no intervalo (X - ∆X)
a (X + ∆X).
Avaliação tipo A da incerteza-padrão
A avaliação Tipo A da incerteza
é qualquer método de avaliar a incerteza do resultado de uma medição em que se use análise estatística de uma série de observações.
Vamos
entender o procedimento para avaliação tipo A da incerteza-padrão,
também conhecida como incerteza ao nível
do desvio padrão. Se você obtiver resultados de n medições do mesmo mensurando em iguais condições, isto é
x1, x2, x3,
. . . .xi, . . .xn
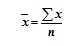
Você
calcula a média aritmética dos resultados, que é a melhor estimativa do valor do mensurando:
O
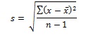
desvio padrão experimental é
Nota: Veja
a postagem Desvio padrão: medida da
dispersão dos resultados de medições, neste blog.
A avaliação tipo A da incerteza-padrão é a dada pelo
desvio padrão experimental. Expressa, portanto, a incerteza do resultado de uma medição em termos do desvio padrão. É indicada, principalmente na literatura em língua inglesa, pela letra u(X)( u de uncertainty).
Se a média
aritmética e o desvio padrão experimental foram obtidos a partir de um número
grande de medições (15 ou 20 são suficientes), a probabilidade de uma nova
medição cair no intervalo indicado na figura abaixo é aproximadamente
68,3% (perto de ⅔).
Vamos
imaginar agora outra situação: se o procedimento descrito for repetido várias
vezes e produzir vários conjuntos de resultados de n medições, cada conjunto de resultados terá estimativas diferentes
de média e desvio padrão.
Apenas como exemplo, imagine que, por quatro
vezes, você fez cinco medições do tempo de oscilação de um
pêndulo. Os resultados (fictícios) estão na tabela dada em seguida. Você
terá quatro médias aritméticas e quatro desvios padrões experimentais. A média
dessas médias é a melhor estimativa do valor do mensurando.
Resultados
das medições do tempo de oscilação de um pêndulo em quatro
conjuntos, com as médias e desvios padrões
Então,
se você obtiver k vezes n resultados individuais de medições do
mesmo mensurando em iguais condições, você poderá calcular k médias. Como essas médias foram obtidas de vários resultados,
devem variar menos entre si do que os resultados individuais de medições do
mesmo mensurando.
Mas para medir a dispersão das médias de n medições do mesmo mensurando, nas mesmas condições, você
precisaria fazer n medições do
mensurando, um número infinito de vezes, o que é impossível. Os estatísticos
teóricos, porém, já demonstraram: o desvio
padrão experimental da média é calculado pela expressão:
Você
pode, então, obter o desvio padrão experimental da média, mesmo que só tenha
feito uma medição. Se você só tivesse feito a primeira medição, teria média 3,6
s e desvio padrão experimental igual a 0,2 s. O desvio padrão da média seria:
Para indicar avaliação
Tipo A da incerteza da média, podemos escrever
Se a
média e o desvio padrão experimental da média foram obtidos a partir de um
número n de medições, é aproximadamente 68,3% a probabilidade
de uma nova media cair no intervalo
EXEMPLO
1.
São dados os resultados de cinco medições do
comprimento de uma folha
31,33
cm
|
31,15
cm
|
31,26
cm
|
31,02
cm
|
31,20
cm
|
A média é:
Para calcular o desvio padrão experimental
Literatura
3. Avaliação de dados de medição — Guia
para a expressão de incerteza de medição
http://www.inmetro.gov.br/noticias/conteudo/iso_gum_versao_site.


























