⚠️ Exercícios
1. 🤯Dos 25 itens de um lote finalizado em uma linha de produção, 2 eram não conformes. Foram retirados ao acaso 4 itens para inspeção. a) Calcule a probabilidade de os 4 itens amostrados serem conformes. b) A amostra pode ter 3 itens não conformes? Imagine que uma fábrica produz parafusos, e um lote de 100 parafusos contém 10 defeituosos. Você seleciona uma amostra aleatória de 5 parafusos sem reposição. Qual é a probabilidade de encontrar exatamente 2 parafusos defeituosos na amostra?
Dados:
N =100 (total de parafusos)
N1 =10 (parafusos defeituosos)
n = 5 (parafusos na amostra)
x1 =2 (exatamente 2 defeituosos na amostra)
A probabilidade é:
Cálculo dos coeficientes binomiais:
Agora, calculamos a probabilidade:
🔚A probabilidade pedida aproximadamente 0,0702 ou 7,02%.
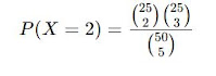
2. 🤯 Um hospital está testando um novo tratamento para uma doença rara. Em um grupo de 50 pacientes, 25 receberam o tratamento experimental e 25 receberam um tratamento padrão. Para um estudo mais detalhado, os médicos selecionam aleatoriamente 5 pacientes sem reposição para exames laboratoriais mais aprofundados. Qual é a probabilidade de que exatamente 2 dos 5 pacientes selecionados tenham recebido o tratamento experimental?
Dados:
N = 50 (total de pacientes)
N1 = 25 (pacientes com tratamento experimental)
n = 5 (pacientes selecionados)
x1 = 2 (exatamente 2 receberam tratamento experimental)
A fórmula é a mesma:
Cálculo dos coeficientes binomiais
Agora, calculamos a probabilidade:
🔚A probabilidade de selecionar 2 pacientes que receberam o tratamento experimental na amostra de 5 é 0,3257 (ou aproximadamente 32,57%.
3. 🤯 Entre os dez pares de meias de uma pessoa, quatro pares precisam de conserto. Se ela escolher aleatoriamente três desses pares para levar em uma viagem, qual é a probabilidade de que um par precise de conserto?
N = 16 (total de caminhões)
N1 = 5 (freios desgastados)
n = 5 (caminhões marcados para revisão)
x1 = 2 ( 2 com freios desgastados)
N = 102 (total de reclusas)
N1 = 5 (opiniões políticas radicais)
n = 5 (cinco escolhidas)
x1 = 1 ( 1 opiniões políticas radicais)
6. 🤯Há 5 pessoas em uma sala: 3 foram vacinadas contra a gripe e 2 não
foram vacinadas. Toma-se uma amostra de 3 pessoas. a) Construa uma tabela para
apresentar os dados. b) Qual é a probabilidade de as 3 terem sido vacinadas?
N = 5 (total de pessoas)
N1 = 3 (vacinadas)
N2 = 2 (não vacinadas)
n = 3 (cinco escolhidas)
x1 = 3 (vacinadas)
🔚A probabilidade de as três pessoas vacinadas estarem na amostra é 0,10 ou 10,0%.
7. 🤯Um baralho tem 52 cartas, das quais 26 são vermelhas e 26 são pretas.
Você tira uma carta ao acaso. Qual é a probabilidade de você ter tirado uma carta vermelha?
São 52 possibilidades, das quais 26 são favoráveis. Então a probabilidade de sair uma carta “vermelha” é 0,5 ou 50%. Simples, não é? Mas vamos complicar. Vamos ver o problema como uma hipergeométrica.
Temos um baralho de 52 cartas (N = 52). Metade é de cartas vermelhas (N1= 26) e metade é de cartas pretas (N2 =26). Tira-se uma carta (n = 1) ao acaso. Qual é a probabilidade de essa carta ser vermelha (x1)? Construa uma tabela para apresentar esses dados e calcule a probabilidade pedida usando a hipergeométrica.


No comments:
Post a Comment