Friday, February 19, 2021

Equações Lineares simultâneas: regra de Cramer

 

Uma das utilizações mais relevantes das matrizes é na resolução de sistemas de equações lineares. matemática envolvida na álgebra das matrizes é bastante trabalhosa, mas a utilização de um software estatístico torna esse processo não apenas muito mais rápido como também mais preciso nas respostas. De qualquer forma, apresentaremos aqui alguns exemplos que você deve resolver com papel e lápis. Isso  contribuirá para a compreensão do processo e facilitará a interpretação dos resultados

Escrevendo equações na forma de matrizes

Considere as equações simultâneas

 Elas podem ser escritas na forma de matriz:

1. A primeira matriz é 2 x 2. Denominada A, é a matriz dos coeficientes 

2. A segunda matriz é um vetor coluna de ordem 2 x 1, em que os elementos são as incógnitas. É denominada X.

3.A terceira matriz também é um vetor coluna de ordem 2 x 1em que os elementos são os termos conhecidos. É denominada Y. 

 O sistema de equações lineares simultâneas pode ser escrito como AX=Y. A resolução desse tipo de sistema  pode ser feita usando a inversa da matriz A, desde que A seja invertível (determinante de A diferente de zero. A solução é dada por:

                                              X = A−1B

        A Regra de Cramer é uma alternativa que evita o cálculo explícito da matriz inversa, o     que é especialmente útil para sistemas pequenos (como 2×2 , 3×3 ou mesmo 4 x 4).

                                                              Regra de Cramer

      Duas equações com duas incógnitas

Vamos começar resolvendo um sistema de duas equações com duas incógnitas, x1 e x2

É dado o sistema de equações lineares:

A matriz A deve ser obrigatoriamente diferente de zero. Ache o determinante de A.

Substitua a primeira coluna da matriz A pelos termos conhecidos do sistema de equações. Será a matriz D1.

 Calcule o determinante de D1.

                                         

Substitua a segunda coluna da matriz A pelos termos conhecidos do sistema de equações.        Será a  matriz D2. Calcule o determinante de D2.

                           
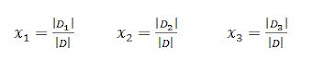
        Ache as incógnitas:

 Exemplo

Resolva o sistema de equações usando a regra de Cramer.

Solução:

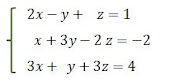
    Três equações com três incógnitas

Procedimento similar ao que foi seguido para resolver um sistema de duas          equações com duas incógnitas pode ser usado para resolver um sistema de três equações com três incógnitas, usando a regra de Cramer. Seja o sistema de equações:

 
  
  
  
  
  
  
  
  
  
 
 

 
                                 
O determinante da matriz dos coeficientes é, necessariamente, diferente de zero.

     As outras três matrizes são: 
                                                                            
                                                                           
     A solução do sistema de equações é

                                                                                                    Exemplo

Usando a regra de Cramer, ache a solução de:

Primeiro, vamos achar o determinante dos coeficientes:

Podemos agora achar os determinantes dos numeradores das frações, uma vez que D≠0.


A solução desse sistema de equações é dada por

         Quatro equações com quatro incógnitas

Para achar a solução para um sistema de quatro equações com quatro incógnitas usando a regra de Cramer, o procedimento é similar ao que foi seguido para resolver um sistema de duas equações com duas incógnitas. Então, vamos direto para um exemplo.


                                                            Exemplo

Usando a regra de Cramer, ache a solução de:

Vamos calcular o determinante dos coeficientes das incógnitas:

           

           A solução é (1, 2, -3, -1).



Wednesday, February 17, 2021

MATRIZES (4): Soma, Subtração e Multiplicação

                                          

   A discussão aqui apresentada sobre operações com matrizes não é rigorosa, mas esperamos que suficiente para usuários. 

 

1. Soma de matrizes

 

    Para somar duas matrizes, A e B, some os elementos que estão em posições correspondentes.

 

                                              Exemplo

 

    São dadas duas matrizes, A e B. Veja como se faz a soma.


                                       

Formalizando: " A soma de duas matrizes de igual ordem A=[aij]  B=[bij] é uma matriz C da mesma ordem de A e B e seus elementos são obtidos pela soma aij +bij.""   


    Importante: só podem ser somadas matrizes de mesmo                       tamanho. Não se pode somar uma matriz 3 x 2 com uma                          matriz 2 x 3.


2. Subtração de matrizes

 

Para subtrair matrizes, isto é, subtrair B de A, proceda à subtração dos elementos que ocupam posições correspondentes.

 

                                               Exemplo

 

São dadas as mesmas duas matrizes de mesma ordem, A e B. Veja como se subtrai B de A.


3. Multiplicação de matrizes

 


4.3.1. Multiplicação de matriz por um escalar

 

É fácil multiplicar uma matriz por um número real k. Por exemplo, para multiplicar a matriz



por 2, isto é, para obter 2 x M multiplique cada elemento da matriz M por 2:

Então:



Generalizando: para multiplicar uma matriz M de ordem m x n por um número real k, é preciso multiplicar k por cada um dos elementos de M.



4.3.2. Multiplicação de matrizes

 

Para multiplicar uma matriz A por uma matriz B, é preciso fazer o produto de linhas por colunas, ponto a ponto. Importante é que o número de colunas em A seja igual ao número de linhas em B. Se A é uma matriz m x n e B é uma matriz n x p, a matriz C resultante será m x p.


                                              Exemplo

 

       Sejam as matrizes A e B. A é matriz 2 x 3 e  B é 3 x 2.



                                             Exemplo

 

        Sejam as matrizes A e B. A é uma matriz 2 x 3 e  B é 3 x 2. 


A matriz C, resultante da multiplicação de uma matriz A, 2 x 3, por uma matriz B, 3 x 2, é uma matriz  2 x 2.      


Para obter a matriz C:


1. Multiplique os elementos da primeira linha de A com os elementos correspondentes da primeira coluna de B:



2. Some os produtos. O resultado é o primeiro elemento da primeira linha e primeira coluna de C.

                       
               3. Multiplique dos elementos da primeira linha de A com os                                  correspondentes da segunda coluna de B e some:

                                   
 4. O resultado é o primeiro elemento da primeira linha e segunda coluna de C.1.


5. Trabalhe agora com a segunda linha da matriz A e a primeira coluna da matriz B. O resultado é o elemento da segunda linha e primeira coluna da matriz C.


 

6. Finalmente, faça os cálculos com a segunda linha da matriz A e segunda coluna da matriz B. O resultado é o elemento da segunda linha e segunda coluna da matriz C.

 

7. Agora você tem o produto das matrizes A x B, ou seja, a matriz C.


 Vamos definir mais formalmente a multiplicação de matrizes. Considere uma matriz A de ordem m x n e uma matriz B de ordem n x p. O produto  (nessa ordem) é uma nova matriz C de ordem m x p com elementos dados por:


Veja bem: você obtém o elemento da i-ésima linha e j-ésima coluna da matriz C, multiplicando todos os elementos da i-ésima  linha da matriz A por todos os elementos correspondentes da j-ésima  coluna da matriz B e então somando esses produtos.

 

                                           Exemplo

 

Dadas as matrizes A e B, calcule o produto delas.

Lembre-se de que, para que uma matriz A possa ser multiplicada por uma matriz B, o número de colunas de A deve ser igual ao número de linhas de B. Observe: o número de colunas de A é igual ao número de linhas de B, isto é, 2. Então C, que é o produto de A por B, é uma matriz 2 x 2.



                                           Exemplo

 

Dadas as matrizes M e N, o produto  não é definido.

 

 Observe: o número de colunas de M é 2, diferente do número de linhas de N. Então o produto dessas duas matrizes não é definido.

 

4.3.3. Propriedades da multiplicação de matrizes


 

1ª propriedade

 

Uma matriz A pode ser multiplicada por uma matriz B somente se o número de colunas de A for igual ao número de linhas de B. O resultado da multiplicação terá o número de linhas da primeira matriz e o número de colunas da segunda matriz.

 

2ª propriedade

 

A multiplicação de matrizes não é comutativa. Mesmo que seja possível multiplicar A por B e B por A, os produtos podem ser diferentes e de ordens diferentes. 


1. Se A for de ordem n x m e B for de ordem m x n  será de ordem n x n e  será de ordem m x m.

 

                                          Exemplo

 

Vimos que:

Vamos obter


Verifique:

 


2. Ainda que A e B sejam matrizes quadradas, as matrizes resultantes da multiplicação de A e de B não são necessariamente iguais.

 

                                           Exemplo

 

Dadas as matrizes A e B, verifique que:


 

         

3ª propriedade

 

Um vetor linha pós-multiplicado por um vetor coluna é um escalar.

 

                                          Exemplo

 

São dados os vetores

O produto deles é um escalar:

               

4ª propriedade

 

 Um vetor coluna pós-multiplicado por um vetor linha é uma matriz.

 

                                           Exemplo

 

São dados os vetores

 

O produto deles é uma matriz de ordem 3 x 3: