Repetir a medição é a melhor maneira de avaliar a incerteza de um resultado, desde que os erros sistemáticos tenham sido minimizados. Sempre que possível, repetimos as medições do mesmo mensurando, nas mesmas condições, várias vezes — ou seja n vezes. Em seguida, aplicamos técnicas estatísticas para estimar a incerteza.
Para
entender a lógica dessa avaliação, vamos usar um exemplo clássico: a medição de
tempo com um cronômetro. O tempo de reação da pessoa que aciona o cronômetro é
aleatório e, de longe, o principal fator de erro na medição do tempo.
Imagine,
então, que você está medindo o período de oscilação de um pêndulo. Foram
realizadas medições, com os seguintes resultados (em segundos):
3,9;
3,5; 3,7; 3,4;
3,5.
A melhor
estimativa para o período de oscilação do pêndulo é a média desses
cinco valores:
Como temos
medições repetidas, podemos também estimar os erros de medição, que são
aleatórios. Os desvios de cada medida em relação à média são apresentados na
tabela abaixo.
Medidas do
período de oscilação do pêndulo
e desvios em relação à média
Os
resultados mostram dispersão em torno da média, de maneira aleatória. Mas como
avaliar o grau de dispersão?
· A média dos
desvios é sempre zero, porque os desvios negativos cancelam os positivos.
Para
contornar isso, elevamos os desvios ao quadrado, tornando-os positivos. Em
seguida:
· Calcula-se
a média dos quadrados dos desvios;
· Extrai-se a
raiz quadrada dessa média.
Assim,
obtemos o desvio padrão.
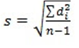
Contudo,
essa fórmula é adequada para populações infinitas. No caso de uma amostra
pequena, como a nossa, o desvio padrão é dado por:
O Excel
disponibiliza a função DESVPAD.A para este cálculo. A seguir, os cálculos
intermediários:
Cálculos
intermediários para obtenção do
desvio
padrão da amostra
Passos para calcular o desvio padrão de uma amostra
1. Some todos
os resultados e divida por n, obtendo a média.
2. Subtraia a
média de cada resultado.
3. Eleve cada
desvio ao quadrado e some.
4. Divida essa
soma por n -1.
5. Extraia a
raiz quadrada.
Nota sobre o divisor
Imagine um
experimento com apenas uma medição. Não é possível calcular a dispersão, pois
dividir por zero é impossível. O ajuste corresponde aos graus de liberdade
e corrige essa limitação.
Visualizando a relação entre desvio padrão e dispersão
Dois amigos
também mediram o tempo do mesmo pêndulo:
· Amigo 1: 3,7; 3,6; 3,9; 3,5;
3,3
· Amigo 2: 4,0; 3,5; 3,7;
3,2; 3,6
As médias e desvios padrões estão resumidos na tabela seguinte:
E representados no gráfico:
O desvio padrão é uma medida da dispersão ou variação dos dados em torno da média. Em contextos de medição, o desvio padrão quantifica a incerteza associada a uma medida, indicando o grau de dispersão dos valores obtidos em diferentes medições de uma mesma grandeza. Quanto menor é o desvio padrão, maior é a precisão das medições.
A incerteza tipo A, que usa o desvio padrão, será tema de outra postagem.
Nota: O exemplo do cronômetro foi adaptado de Physics
Laboratory Tutorial: Error Analysis — Columbia University.
Exercícios
1. Calcule
a média e o desvio padrão do resultado de cinco medições de uma peça, que
forneceu os seguintes valores, em milímetros:
200,1; 200,5; 200,3; 200,2;
200,4.
2.
Foram enviadas oito amostras de um mesmo produto que continha 10,5% de
K2O para oito laboratórios diferentes. Cada laboratório fez
uma determinação da porcentagem de K2O no produto. Calcule a
média e a desvio padrão. As determinações são dadas em seguida.
10,8; 11,2; 10,5; 11,0;
10,9; 11,1; 10,8; 10,7.
3. Para estabelecer a capacidade de perfuração de uma
perfuradora hidráulica em estruturas rochosas, foi feito um experimento.
Tomaram-se medidas da profundidade (em polegadas) da perfuração feita em 10
locais. Os dados estão na tabela dada abaixo. Calcule a média e a
desvio padrão.
Resultados do experimento para medir a capacidade de perfuração de uma perfuradora hidráulica
Respostas aos exercícios








